Posted in

Exercices corrigés algèbre de boole et circuits logiques

Exercice 1 – Algèbre de Boole

a)  En utilisant exclusivement l’algèbre booléene, démontrez que :

 

 

On calcule les formes canoniques disjonctives des deux expressions :


Exercices algèbre

De même,

Exercices algèbre


Après distribution et commutation, on obtient les deux mêmes expressions.

b) Par Shannon, sur la variable A, il vient :

Exercices algèbre

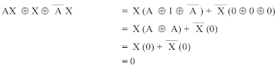
Par Shannon sur la variable B, il vient :

 

Exercices algèbre


c)  En utilisant une technique de votre choix, démontrez que le circuit suivant a toujours sa sortie fausse :

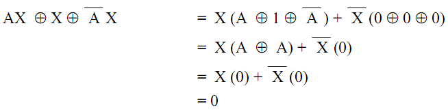
Soit X, la sortie du XNOR(B,C), il vient, par Shannon sur la variable X : 

Exercices algèbre

Exercice 2 – Analyse et synthèse de circuits


1)  Trouver l’expression disjonctive simplifiée de X au moyen de la table de Karnaugh.
Évaluez son coût minimal et dessinez votre meilleur circuit

Exercices algèbre


Dessinez le circuit ci-dessous

Exercices algèbre

 

2)  La fonction FY a déjà été réalisée par un apprenti. Elle fonctionne bien mais le patron prétend que le circuit coûte  trop cher pour rien. Faites l’analyse de cette fonction et proposez votre meilleur circuit en comparant les versions disjonctive et conjonctive.

a) version disjonctive

Exercices algèbre

 

b) version conjonctive

Exercices algèbre

 

c) Votre patron vous demande de porter un regard critique sur la première implantation de FY. Qu’allez-vous lui dire ?

C’était une bonne idée d’utiliser la forme conjonctive. Toutefois, deux erreurs ont été commises :

1)  3 impliqués alors que 2 auraient suffi
2)  L’utilisation de portes NOR aurait été moins couteuse

Conclusion, le patron avait raison, le circuit coute (2+2)+(3+2)+(3+2)+(3+2), soit 19 à la place de 9.

3) Sachant que finalement, seule la valeur de Z importe, proposez votre meilleur circuit pour implanter Z(A,B,C,D)
 
Exercices algèbre

Dessinez le circuit optimisé.

Exercices algèbre

Exercice 3 – Quine-McCluskey


1)

Exercices algèbre
2) Procéder par la méthode Quine-McCluskey pour simplifier la fonction F(A,B,C,D) et identifier les impliquants premiers
Exercices algèbre
3)  Impliquants essentiels : 0X1X
4)
Exercices algèbre
Soient 4 solutions optimales avec 3 impliquants premiers (+ l’impliquant essentiel)
Exercices algèbre
5) Confirmez votre résultat en utilisant une table de Karnaugh
Exercices algèbre
Exercice 4 – Décodeur
Exercices algèbre
Exercices algèbre
Exercice 5 – multiplexeur
Exercices algèbre

Laisser un commentaire

Votre adresse e-mail ne sera pas publiée. Les champs obligatoires sont indiqués avec *