Posted in

Exercices algèbre de boole, circuits logiques et la méthode Quine-McCluskey

Exercices algèbre de boole, circuits logiques et la méthode Quine-McCluskey, tutoriel & guide de travaux pratiques en pdf.

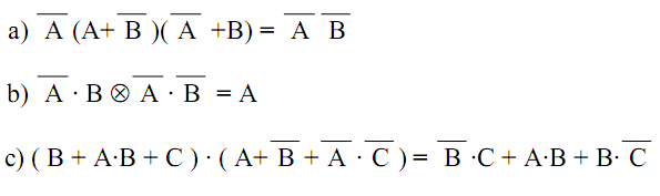
Exercice 1 – Algèbre de Boole

Sachant que A, B et C sont des variables booléennes. Démontrer que :

Exercice 2 – Analyse et synthèse de circuits

L’implémentation d’une fonction logique Z relativement complexe repose sur un XOR de deux autres fonctions X et Y comme indiqué sur le schéma suivant :
Exercices algèbre de boole

1)  En considérant que les portes XOR et XNOR à N entrées ont un coût 2N, calculer le coût des fonctions X, Y et Z telles qu’elles ont été implémentées.

Coût de  X(A, B, C, D) =
Coût de  Y(A, B, C, D) =
Coût de  Z(A, B, C, D) =

2)  Trouver l’expression disjonctive simplifiée de X au moyen de la table de Karnaugh.
Évaluer son coût minimal.

X = ____________________________________________________________________

Exercices algèbre de boole

3)  Trouver l’expression conjonctive simplifiée de Y au moyen de la table de Karnaugh.
Évaluer son coût minimal.

Y = ____________________________________________________________________

Exercices algèbre de boole

4)  Trouver l’expression conjonctive simplifiée de Z en vous basant sur les résultats précédents.
Évaluer le coût minimal de cette implémentation.

Z = ____________________________________________________________________

Exercices algèbre de boole

5)  Dessinez le circuit optimisé.

Exercice 3 – Circuits avec mux/démux

Considérant le circuit suivant implémentant la fonction X :

Exercices algèbre de boole

1) Trouver l’expression algébrique de X sous la forme d’un produit de sommes :

2) Donner la table de Karnaugh à variable inscrite de X sans simplifier (inscrire D) :

Exercices algèbre de boole

3) Dessiner dans la zone en pointillés le circuit permettant d’obtenir X en sortie

Exercices algèbre de boole

Exercice 4 – Quine-McCluskey

Soit la table de vérité de la fonction logique F(A,B,C,D) :

Exercices algèbre de boole
1) Retranscrire les  maxterms de la fonction F sous forme binaire en soulignant les maxterms facultatifs — exemple : 1110 pour
Exercices algèbre de boole


F(A,B,C,D) =

2) Procéder par la méthode Quine-McCluskey pour simplifier la fonction F(A,B,C,D) et identifier les impliqués premiers
Exercices algèbre de boole

Impliqués premiers sous forme binaire :

Exercices algèbre de boole

3) Utiliser la table suivante pour identifier les impliqués essentiels de F(A,B,C,D)

Exercices algèbre de boole

Impliqués essentiels :

Exercices algèbre de boole
4) Les impliqués essentiels couvrent-ils l’ensemble des maxterms ? Si oui, donner l’expression conjonctive simplifiée de la fonction F(A,B,C,D). Autrement, suggérer une solution et donner l’expression conjonctive simplifiée de la fonction F(A,B,C,D) ainsi obtenue.

5) Confirmer votre résultat en utilisant une table de Karnaugh

Exercices algèbre de boole

La correction exercices architecture PC (voir page 2 en bas)

Laisser un commentaire

Votre adresse e-mail ne sera pas publiée. Les champs obligatoires sont indiqués avec *