Posted in

Exercices circuit logique, table de vérité et table de Karnaugh

Exercice 1 :

Le circuit logique et la table de vérité sont :

Exercice 2 :

Le circuit réalisé la fonction ET telle que :

Exercices circuit logique

Exercices circuit logique

Exercice 3 :

Le circuit réalisé la fonction OU telle que :

Exercices circuit logique

Exercices circuit logique

Exercice 4 :

Les combinaisons possibles pour x et y sont de 23 = 8, c’est-à-dire :

Exercices circuit logique
A chaque combinaison de x peut correspondre n’importe laquelle des huit combinaisons de y.
De plus, pour chaque bit xi il existe 2 combinaisons possibles de bits de y et inversement, de telle sorte que la solution par rapport à la comparaison bit par bit est :
Exercices circuit logique

ce qui donne l’équation logique suivante :

Exercices circuit logique
Comme chaque entrée est à 3 bits (bit 20, bit 21 et bit 22), et que chaque paire de bits est décrite par l’équation (1), alors le circuit cherché est le suivant :
Exercices circuit logique

Il est évident que ce circuit n’est pas optimal et qu’une simplification s’impose.
L’équation (1) peut être simplifiée en ajoutant, sans rien changer à l’équation, deux zéros  Exercices circuit logique ainsi :

Exercices circuit logique

L’équation  (2) donne un circuit qui ne nécessite que 7 éléments au lieu des 16 du circuit non simplifié tel que :

Exercices circuit logique

Exercice 5 :

1. La table d’état est :

Exercices circuit logique

(0/1) veut dire que l’on peut indifféremment choisir soit 0 soit 1.

2. les expressions logiques du circuit sont :

Exercices circuit logique

ce qui nous donne, pour chaque bit i,le schéma suivant :

Exercices circuit logique

3. le schéma logique complet du circuit est :

Exercices circuit logique

Exercice 6 :

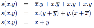
1. Simplification par voie algébrique :
le théorème d’idempotence permet d’écrire :

Exercices circuit logique

2. Simplification par la méthode de Karnaugh :

On reproduit la table de vérité dans une table, appelée table de Karnaugh, telle que :

Exercices circuit logique
On remarque que les 4 cases de la table de Karnaugh correspondent aux 4 lignes de la table de vérité. La simplification consiste à encercler tout ensemble de cases remplies de 1, adjacentes sur la même ligne ou la même colonne.
Dans notre exercice, on trouve deux ensembles (ligne y = 1 et colonne x = 1) de cases qui recouvrent complétement les parties affectées aux variables x et y.
Ainsi, on peut déduire que la solution est s = x + y.

Exercice 7 :

La table de Karnaugh est :

Exercices circuit logique

Ainsi, on peut déduire que la solution est :

Exercices circuit logique

One thought on “Exercices circuit logique, table de vérité et table de Karnaugh

Laisser un commentaire

Votre adresse e-mail ne sera pas publiée. Les champs obligatoires sont indiqués avec *